急诊热线:0719-2729120
☰

导航

  • 网站首页
  • 医院概况 ▼
    • 医院简介
    • 领导介绍
    • 设备展示
    • 科研成果
    • 地理位置
    • 医院荣誉
  • 医院动态 ▼
    • 通知公告
    • 招投标公告
    • 新闻动态
    • 医院专题
    • 医院视频
    • 图片新闻
  • 就医导航 ▼
    • 住院指南
    • 门诊指南
    • 办事指南
    • 医保社保
    • 预约挂号
  • 医院科室 ▼
    • 临床科室
    • 诊疗中心
    • 医技科室
    • 名医堂
  • 医院文化 ▼
    • 中医文苑
    • 医院文化
  • 党建之窗 ▼
    • 党建之窗
  • 中医养生 ▼
    • 养生保健
    • 细说中药

  • 通知公告
  • 招投标公告
  • 新闻动态
  • 医院专题
  • 医院视频
  • 图片新闻
您的位置: > 医院动态 > 通知公告 > 
  • 竹溪县中医院药品阴凉柜项目询价采购成交公告

    竹溪县中医院就药品阴凉柜进行了公开询价采购,经院领导和相关使用科室对产品品牌型号、参数、价格等比对确认,现就本次询价的成交结果公告如下:项目名称:药品阴凉柜中标金额:贰仟捌佰伍拾元 中标公司:竹溪煜鑫科技贸易有限公司评标人员:杨广智 孙波 郑......

    发布时间:2022-05-16
  • 2020年招聘护理员公告

    2020年招聘护理员公告 根据竹溪县中医院工作需要,特委托竹溪县贤内助家政公司面向社会招聘护理员,具体招聘事项公告如下: 一、招聘岗位:竹溪县中医院护理岗位 二、招聘名额:拟定8名 三、招聘条件: 1、全日制护理或助产专业中专及以上学历。 2、已取得护......

    发布时间:2022-05-14
  • 竹溪县中医院2020年招聘护理人员公告

    竹溪县中医院2020年招聘护理人员公告

    根据工作需要,按照“自愿报名、公平竞争、择优录用”的原则,我院面向社会公开招聘护理人员20人,具体招聘事项公告如下:一、招聘条件1、岗位及人数:临床护理专业,人数:20人。2、年龄30周岁以内(199...

    发布时间:2022-05-14
  • 竹溪县中医院2019年招聘医生、护理、药剂人员结果公示

    竹溪县中医院2019年招聘医生、护理、药剂人员结果公示

    以上人员经过笔试、面试和院务会综合考评后决定录用,现予以公示。公示期:三个工作日。公示期无异议者,于4月25日(下周四)到县中医院由人事科安排体检,费用自理。体检合格后到人事科办理入职手续,由相关科室...

    发布时间:2022-05-11
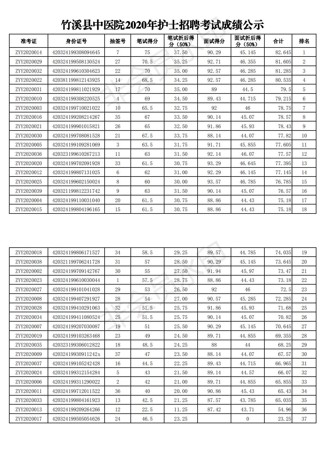
  • 竹溪县中医院2020年护理招聘考试成绩公示

    竹溪县中医院2020年护理招聘考试成绩公示

    ...

    发布时间:2022-05-11
  • 竹溪县中医院2020年护士招聘预录人员体检公示

    竹溪县中医院2020年护士招聘预录人员体检公示

    备注:根据2020年竹溪县中医院招聘护理人员公告要求,经院务会研究决定,按综合成绩排名由高到低预录前20名。请预录人员持身份证于2020年12月1日8:00到中医院门诊四楼体检中心完成体检,费用自理。...

    发布时间:2022-05-11
  • 竹溪县中医院招聘精准扶贫和基建管理协调人员公告

    因医院精准扶贫和业务发展工作需要,现面向社会公开招聘精准扶贫工作人员1名和基建管理协调人员1名,现将有关事项公告如下:一、招聘岗位及人数1、精准扶贫工作人员:1名;2、基建管理协调人员:1名。二、招聘条件:(一)精准扶贫工作人员1名招聘条件:1、具......

    发布时间:2022-05-08
  • 竹溪县中医院关于招聘临时护理人员简章

    竹溪县中医院关于招聘临时护理人员简章

    根据工作需要,按照“自愿报名、公平竞争、择优录用”的原则,我院将面向社会公开招聘13名临时护理人员,现将《简章》公布如下:一、招聘人数:13名二、招聘条件1、具有大学专科及以上学历、护理专业、并持有护...

    发布时间:2022-05-06
  • 关于“工会会员服务卡”的说明

    各科室: 经与县总工会联系,一是此次“工会会员服务卡”为批量制作,目前我院部分职工制作完毕并领取,其余正在制作之中,二是全院职工均可办理,未办理的职工可申请办理(身份证复印件或者号码以科室为单位收集)。 竹溪县中医院工会2014年12月4日...

    发布时间:2022-05-06
  • 竹溪县中医院灌流机等询价采购成交公告

    竹溪县中医院就口腔科耗材进行了公开询价采购,经院领导和相关使用科室对性能参数、价格等比对确认,现就本次询价的成交结果公告如下:一、项目名称:灌流机等中标金额:1.灌流机1台,35000.00元;灌流器1260元/套,人工肾血液回路导管58.00元/套;双腔透析鞘......

    发布时间:2022-05-05
  • 竹溪县中医院胎心多普勒等询价采购成交公告

    竹溪县中医院就胎心多普勒等进行了公开询价采购,经院领导和相关使用科室对产品品牌型号、价格售后等比对确认,现就本次询价的成交结果公告如下:1.项目名称:胎心多普勒、新生儿喉镜、产钳中标公司:十堰梓霖贸易有限公司 中标金额:伍仟陆佰陆拾元2.项目名......

    发布时间:2022-05-05
  • 竹溪县中医院定向透药治疗仪询价采购成交公告

    竹溪县中医院就定向透药治疗仪进行了公开询价采购,经院领导和相关使用科室对供应商资质、品牌型号、价格售后等比对确认,现就本次询价的成交结果公告如下:1. 项目名称:定向透药治疗仪(电极片)中标公司:湖北天立泰医疗器械有限公司 中标金额:贰佰元(壹......

    发布时间:2022-05-05
  • 1
  • ...
  • 32
  • 33
  • 34
  • 35
  • ...
  • 77
    • 友情链接: 竹溪县人民政府 政府信息公开 竹溪新闻网 十堰市卫生健康委员会

    24小时急诊热线:0719-2729120
    邮箱:tykjdx@tyust.edu.cn
    地址:竹溪县鄂陕大道476号

    竹溪中医 竹溪县中医院

    © 竹溪县中医院 鄂ICP备14017955号-1

    竹溪中医 竹溪县中医院
    0719-2729120